Papers of the ISSP group
Characterisation of magnetic activity of M dwarfs. Possible impact on the surface brightness
Ibañez Bustos,... Nardetto, N. ; Mourard ... March 7, 2025
https://arxiv.org/pdf/2503.04364
Click on the image to enlarge itStellar magnetic activity is a phenomenon that has been extensively studied using several spectral lines sensitive to chromospheric activity (e.g. Mg II, Ca II, Na I, and Hα) by integrating their fluxes in the line core. The variability of each flux or equivalent width with time is related to stellar rotation and the evolution of the stellar active regions providing information on different regions at different heights of the stellar atmosphere.
In this work we have analysed echelle spectra from 7 different instruments in order to study the magnetic activity of a sample of 35 M dwarfs with the main goal to detect activity cycles and to characterise them according to chromospheric emission levels. We have built extended time-series based on the Mount Wilson S-index and we detected for the first time, 13 potential magnetic activity cycles using different time-domain techniques for nonequispaced data.
On the other hand, it is well known that the relation between the surface brightness (SB) and the color of stars can vary with temperature, and the luminosity class and stellar activity such as spots, multiplicity can affect the relation between SB and color.
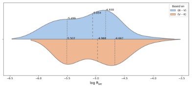
Taking angular diameters from different works in the literature, we computed the empirical relation of stellar surface brightness and studied for the first time how the plage-related indicator of chromospheric activity, log R'HK , can impact this relation for the M dwarfs in our sample. In this work, we find that different chromospheric levels in the log R'HK quiescent domain of M dwarfs, do not affect the SB as seen in the figure .
To globalise this conclusion, we need to study a larger sample of stars including active dM and those of different spectral types.
APOKASC-3: The Third Joint Spectroscopic and Asteroseismic catalog for Evolved Stars in the Kepler Fields
Marc Pinsonneault,...,Mathieu Vrard, et al., ApJS 2025.
https://arxiv.org/pdf/2410.00102
Click on the image to enlarge itIn the third APOKASC catalog, we present data for the complete sample of 15,808 evolved stars with APOGEE spectroscopic parameters and Kepler asteroseismology.
We used ten independent asteroseismic analysis techniques and anchor our system on fundamental radii derived from Gaia L and spectroscopic Teff. We provide evolutionary state, asteroseismic surface gravity, mass, radius, age, and the spectroscopic and asteroseismic measurements used to derive them for 12,418 stars. This includes 10,036 exceptionally precise measurements, with median fractional uncertainties in \nmax, \dnu, mass, radius and age of 0.6\%, 0.6\%, 3.8\%, 1.8\%, and 11.1\% respectively. We provide more limited data for 1,624 additional stars which either have lower quality data or are outside of our primary calibration domain. Using lower red giant branch (RGB) stars, we find a median age for the chemical thick disk of 9.14±0.05(ran)±0.9(sys) Gyr with an age dispersion of 1.1 Gyr, consistent with our error model. We calibrate our red clump (RC) mass loss to derive an age consistent with the lower RGB and provide asymptotic GB and RGB ages for luminous stars. We also find a sharp upper age boundary in the chemical thin disk.
We find that scaling relations are precise and accurate on the lower RGB and RC, but they become more model dependent for more luminous giants and break down at the tip of the RGB. We recommend the usage of multiple methods, calibration to a fundamental scale, and the usage of stellar models to interpret frequency spacings.
Red giants evolutionary status determination: the complete Kepler catalog
M. Vrard ,... November 6, 2024
https://arxiv.org/pdf/2411.03101
Click on the image to enlarge itEvolved cool stars have three distinct evolutionary status: shell-hydrogen burning (RGB), core-helium and shell-hydrogen burning (RC), and double-shell burning (AGB).
Asteroseismology, the study of waves going through stars, can distinguish between the RC and the other status, but distinguishing RGB and AGB has been difficult seismically and spectroscopically. The precise boundaries of different status in the Hertzprung-Russel (HR) diagram have also been difficult to establish. In this article we present a comprehensive catalog of asteroseismic evolutionary status, RGB and RC, for evolved cool stars in the Kepler satellite field. Kepler is a NASA mission that observe during four years the photometry of thousands of stars including the evolved cool stars : red giants.
To prepare this catalog we carefully examined boundary cases to define the lower edge of the RC phase in radius and surface gravity. We also tested different published asteroseisemic methods claiming to distinguish AGB and RGB stars against a sample where AGB candidates were selected using a spectrocopic identification method. We used six different asteroseismic techniques to distinguish RC and RGB stars, and tested two proposed methods for distinguishing between AGB and RGB stars.
These status were compared with those inferred from spectroscopy. We have a consensus evolutionary status for 18 784 stars out of the 30,337 red giants present in the Kepler data, including 11 516 stars with APOGEE spectroscopy available.
The agreement between asteroseismic and spectroscopic classification is excellent for distinguishing RC stars, agreeing at the 94% level. Most disagreements can be traced to uncertainties in spectroscopic parameters, but some are caused by blends with background stars.
We find a sharp lower boundary in surface gravity at log(g) = 2.99+/-0.01 for the RC and discuss the implications. We demonstrate that asteroseismic tools for distinguishing between AGB and RGB stars are consistent with the spectroscopic evolutionary status at near the RC, but that the agreement between the different methods decreases rapidly as the star evolves during the AGB phase. This work presents the most complete evolutionary status catalog for Kepler and APOGEE red giant stars.
The data precisely defines the locus of RC stars in the HR diagram, an important constraint for stellar theory and stellar populations. We also demonstrate that asteroseismic tools can distinguish between AGB and RGB stars under some circumstances, which is important for the age estimation of field stars. However, we also put forward the importance of using several techniques to assess the evolutionary status determination for luminous red giants.
Optimised use of interferometry, spectroscopy, and stellar atmosphere models for determining the fundamental parameters of stars
Ebrahimkutty et al., Septembre 27, 2024, published in A&A
aa50105-24.pdf
Click on the image to enlarge itThanks to recent progress in the field of optical interferometry, instrument sensitivities have now reached the level achieved in the domain of new space missions dedicated to exoplanet and stellar studies. Combining interferometry with other observational approaches enables the determination of stellar parameters and helps improve our understanding of stellar physics.
In this paper, we aim to demonstrate a new way of using stellar atmosphere models for a joint interpretation of spectroscopic and interferometric observations.
CHARA/SPICA: a 6-telescope visible instrument for the CHARA Array
D. Mourard, P. Bério, C. Pannetier et al., SPIE 2022, SPICA-VIS
(http://arxiv.org/abs/2210.09096)
With a possible angular resolution down to 0.1-0.2 millisecond of arc using the 330 m baselines and the access to the 600-900 nm spectral domain, the CHARA Array is ideally configured for focusing on precise and accurate fundamental parameters of stars. CHARA/SPICA (Stellar Parameters and Images with a Cophased Array) aims at performing a large survey of stars all over the Hertzsprung-Russell diagram.
This survey will also study the effects of the different kinds of variability and surface structure on the reliability of the extracted fundamental parameters. New surface-brightness-colour relations will be extracted from this survey, for general purposes on distance determination and the characterization of faint stars. SPICA is made of a visible 6T fibered instrument and of a near-infrared fringe sensor. In this paper, we detail the science program and the main characteristics of SPICA-VIS. We present finally the initial performance obtained during the commissioning.
SPICA-FT: The new fringe tracker of the CHARA array
C. Pannetier, P. Bério, D. Mourard et al., SPIE 2022, SPICA-FT
(http://arxiv.org/abs/2210.09042)
SPICA-FT is part of the CHARA/SPICA instrument which combines a visible 6T fibered instrument (SPICAVIS) with a H-band 6T fringe sensor. SPICA-FT is a pairwise ABCD integrated optics combiner.
The chip is installed in the MIRC-X instrument. The MIRC-X spectrograph could be fed either by the classical 6T fibered combiner or by the SPICA-FT integrated optics combiner. SPICA-FT also integrates a dedicated fringe tracking software, called the opd-controller communicating with the main delay line through a dedicated channel. We present the design of the integrated optics chip, its implementation in MIRC-X and the software architecture of the group-delay and phase-delay control loops.
The final integrated optics chip and the software have been fully characterized in the laboratory. First on-sky tests of the integrated optics combiner began in 2020. We continue the on-sky tests of the whole system (combiner + software) in Spring and Summer 2022. We present the main results, and we deduce the preliminary performance of SPICA-FT.



